Тәрбие жұмысы бойынша талдау 2023- 2024 оқу жылы » Жетісу облысы Кербұлақ ауданы Сарыөзек орта мектебі
"Жетісу облысы білім басқармасы
Кербұлақ ауданы бойынша білім бөлімі"
"Сарыөзек орта мектебі"
коммуналдық мемлекеттік мекемесі
Қабылдау бөлімі :
+7(72840) 33-1-44
Есепші бөлімі:
+7(72840) 33-1-44
Нашар көрушілер
нұсқасы
» » Тәрбие жұмысы бойынша талдау 2023- 2024 оқу жылы
27
май
2024

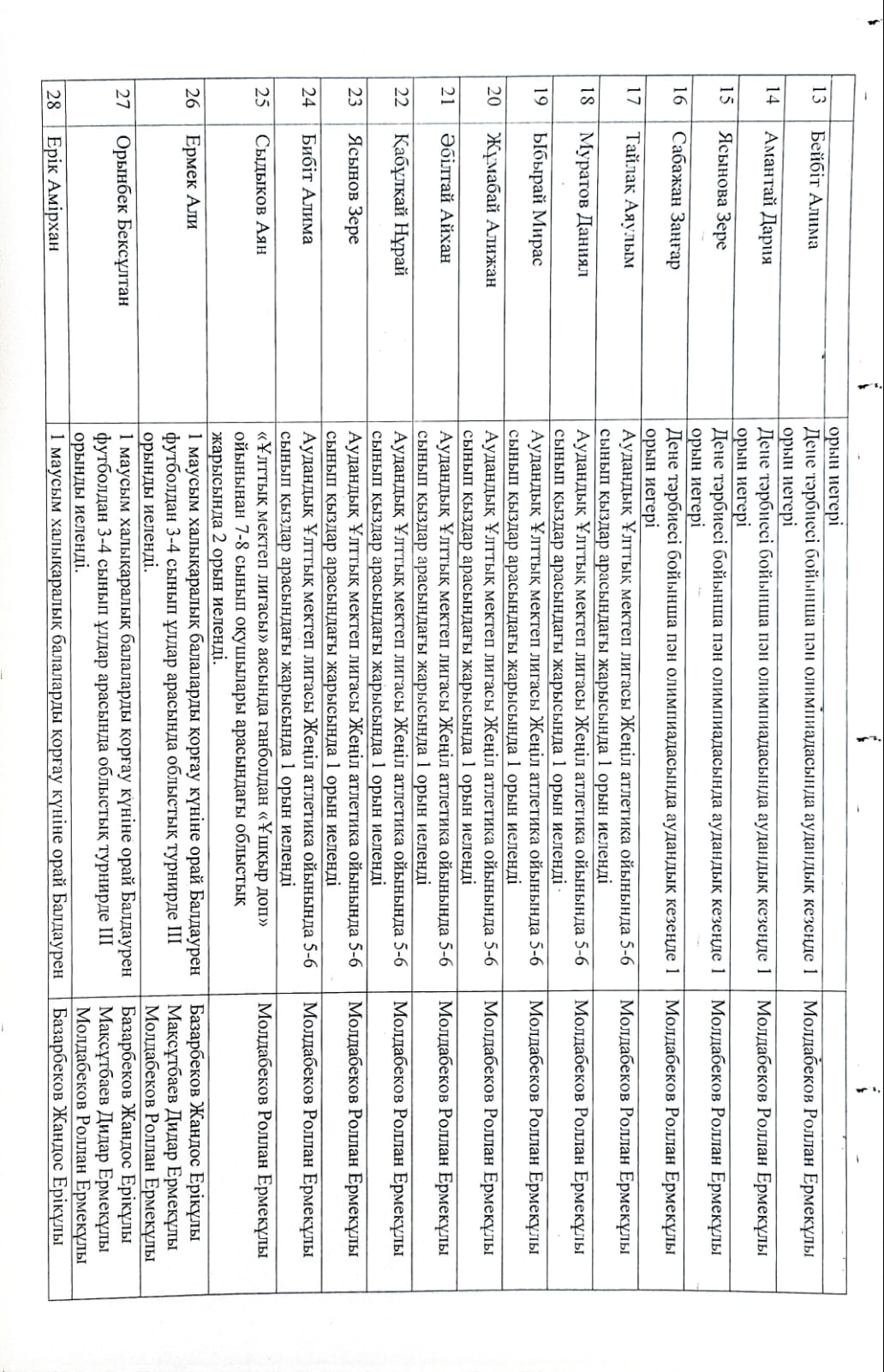
Тәрбие жұмысы бойынша талдау 2023- 2024 оқу жылы











Прокомментировать
  • bowtiesmilelaughingblushsmileyrelaxedsmirk
    heart_eyeskissing_heartkissing_closed_eyesflushedrelievedsatisfiedgrin
    winkstuck_out_tongue_winking_eyestuck_out_tongue_closed_eyesgrinningkissingstuck_out_tonguesleeping
    worriedfrowninganguishedopen_mouthgrimacingconfusedhushed
    expressionlessunamusedsweat_smilesweatdisappointed_relievedwearypensive
    disappointedconfoundedfearfulcold_sweatperseverecrysob
    joyastonishedscreamtired_faceangryragetriumph
    sleepyyummasksunglassesdizzy_faceimpsmiling_imp
    neutral_faceno_mouthinnocent
Введите код с картинки:* Кликните на изображение чтобы обновить код, если он неразборчив